Skip to content Skip to sidebar Skip to footer

Formula Titik Tengah Matematik : Koordinat Matematik Tingkatan 2 Mathematics Quizizz

Play this game to review mathematics. X ialah titik tengah dan k ialah kekerapannya.

X ialah titik tengah dan k ialah kekerapannya. Formula Titik Tengah Nashcxt
Formula Titik Tengah Nashcxt from 1.bp.blogspot.com
Mencari titik tengah ruas garis adalah sesuatu yang mudah selama anda mengetahui koordinat kedua titik ujung garisnya. Titik neutral dalam sistem tiga fasa wujud pada titik tengah matematik bagi segitiga . Dalam rajah di bawah, tentukan titik tengah bagi garis pq. Cara yang paling biasa digunakan . Formula kalkulator titik tengah membolehkan anda untuk mengira titik. Matematik tambahan 4 5 pembahagian tembereng garis titik tengah di .

Jadual kekerapan yang berikut menunjukkan bilangan majalah yang telah dijual di satu .

Salah satu submateri dari bab hubungan antargaris adalah mengenai sistem koordinat geometri bidang (dimensi dua) atau juga disebut sistem . Mencari titik tengah ruas garis adalah sesuatu yang mudah selama anda mengetahui koordinat kedua titik ujung garisnya. Dalam rajah di bawah, tentukan titik tengah bagi garis pq. Play this game to review mathematics. 7.2.1 menerangkan maksud titik tengah di antara dua titik pada satah. Jadual kekerapan yang berikut menunjukkan bilangan majalah yang telah dijual di satu . Dalam rajah di bawah, tentukan titik tengah bagi garis pq. Cara cari kekerapan dan titik tengah matematik spm statistik. Formula ini digunakan untuk mencari. Formula kalkulator titik tengah membolehkan anda untuk mengira titik. Cara yang paling biasa digunakan . Titik neutral dalam sistem tiga fasa wujud pada titik tengah matematik bagi segitiga . Matematik tambahan 4 5 pembahagian tembereng garis titik tengah di .

Play this game to review mathematics. Cara cari kekerapan dan titik tengah matematik spm statistik. Secara matematis, rumus elastisitas busur adalah sebagai berikut:. Salah satu submateri dari bab hubungan antargaris adalah mengenai sistem koordinat geometri bidang (dimensi dua) atau juga disebut sistem . 7.2.1 menerangkan maksud titik tengah di antara dua titik pada satah. Titik neutral dalam sistem tiga fasa wujud pada titik tengah matematik bagi segitiga .

Play this game to review mathematics. Matematik Tambahan Spm Tingkatan 4 Geometri Koordinat Add Maths Form
Matematik Tambahan Spm Tingkatan 4 Geometri Koordinat Add Maths Form from image.slidesharecdn.com
Formula ini digunakan untuk mencari. Formula kalkulator titik tengah membolehkan anda untuk mengira titik. Dalam rajah di bawah, tentukan titik tengah bagi garis pq. Cara cari kekerapan dan titik tengah matematik spm statistik. Secara matematis, rumus elastisitas busur adalah sebagai berikut:. X ialah titik tengah dan k ialah kekerapannya. Cara yang paling biasa digunakan . Titik neutral dalam sistem tiga fasa wujud pada titik tengah matematik bagi segitiga .

Mencari titik tengah ruas garis adalah sesuatu yang mudah selama anda mengetahui koordinat kedua titik ujung garisnya.

Cara cari kekerapan dan titik tengah matematik spm statistik. Matematik tambahan 4 5 pembahagian tembereng garis titik tengah di . Secara matematis, rumus elastisitas busur adalah sebagai berikut:. Titik neutral dalam sistem tiga fasa wujud pada titik tengah matematik bagi segitiga . Play this game to review mathematics. Salah satu submateri dari bab hubungan antargaris adalah mengenai sistem koordinat geometri bidang (dimensi dua) atau juga disebut sistem . Jadual kekerapan yang berikut menunjukkan bilangan majalah yang telah dijual di satu . Formula ini digunakan untuk mencari. Dalam rajah di bawah, tentukan titik tengah bagi garis pq. 7.2.1 menerangkan maksud titik tengah di antara dua titik pada satah. Apa formula yang kita guna untuk cari jarak & titik tengah dalam soalan matematik? Dalam rajah di bawah, tentukan titik tengah bagi garis pq.

Dalam rajah di bawah, tentukan titik tengah bagi garis pq. Matematik tambahan 4 5 pembahagian tembereng garis titik tengah di . Mencari titik tengah ruas garis adalah sesuatu yang mudah selama anda mengetahui koordinat kedua titik ujung garisnya.

Salah satu submateri dari bab hubungan antargaris adalah mengenai sistem koordinat geometri bidang (dimensi dua) atau juga disebut sistem . Formula Titik Tengah Nashcxt
Formula Titik Tengah Nashcxt from 1.bp.blogspot.com
Salah satu submateri dari bab hubungan antargaris adalah mengenai sistem koordinat geometri bidang (dimensi dua) atau juga disebut sistem . Matematik tambahan 4 5 pembahagian tembereng garis titik tengah di . Cara yang paling biasa digunakan . Mencari titik tengah ruas garis adalah sesuatu yang mudah selama anda mengetahui koordinat kedua titik ujung garisnya. X ialah titik tengah dan k ialah kekerapannya. Dalam rajah di bawah, tentukan titik tengah bagi garis pq. Play this game to review mathematics. Titik neutral dalam sistem tiga fasa wujud pada titik tengah matematik bagi segitiga . Cara cari kekerapan dan titik tengah matematik spm statistik.

Secara matematis, rumus elastisitas busur adalah sebagai berikut:.

Jadual kekerapan yang berikut menunjukkan bilangan majalah yang telah dijual di satu . Formula ini digunakan untuk mencari. Titik neutral dalam sistem tiga fasa wujud pada titik tengah matematik bagi segitiga . Cara yang paling biasa digunakan . Salah satu submateri dari bab hubungan antargaris adalah mengenai sistem koordinat geometri bidang (dimensi dua) atau juga disebut sistem . X ialah titik tengah dan k ialah kekerapannya. Play this game to review mathematics. Dalam rajah di bawah, tentukan titik tengah bagi garis pq. Secara matematis, rumus elastisitas busur adalah sebagai berikut:. Formula kalkulator titik tengah membolehkan anda untuk mengira titik. Mencari titik tengah ruas garis adalah sesuatu yang mudah selama anda mengetahui koordinat kedua titik ujung garisnya. Apa formula yang kita guna untuk cari jarak & titik tengah dalam soalan matematik? Cara cari kekerapan dan titik tengah matematik spm statistik. 7.2.1 menerangkan maksud titik tengah di antara dua titik pada satah. Matematik tambahan 4 5 pembahagian tembereng garis titik tengah di .

Formula Titik Tengah Matematik : Koordinat Matematik Tingkatan 2 Mathematics Quizizz. Apa formula yang kita guna untuk cari jarak & titik tengah dalam soalan matematik? Formula kalkulator titik tengah membolehkan anda untuk mengira titik. Secara matematis, rumus elastisitas busur adalah sebagai berikut:. Cara yang paling biasa digunakan . Matematik tambahan 4 5 pembahagian tembereng garis titik tengah di . Dalam rajah di bawah, tentukan titik tengah bagi garis pq. Titik neutral dalam sistem tiga fasa wujud pada titik tengah matematik bagi segitiga .

Cara cari kekerapan dan titik tengah matematik spm statistik. Pdf Kesalahan Siswa Dalam Menyelesaikan Soal Kemampuan Spasial Matematis

7.2.1 menerangkan maksud titik tengah di antara dua titik pada satah. Formula kalkulator titik tengah membolehkan anda untuk mengira titik.

Dalam rajah di bawah, tentukan titik tengah bagi garis pq. Formula Titik Tengah Nashcxt

Cara yang paling biasa digunakan .

Dalam rajah di bawah, tentukan titik tengah bagi garis pq. F2 Math Bab 7 Koordinat Titik Tengah Jom Cuba 7 2 Ms 138

Play this game to review mathematics. Dalam rajah di bawah, tentukan titik tengah bagi garis pq. 7.2.1 menerangkan maksud titik tengah di antara dua titik pada satah. Jadual kekerapan yang berikut menunjukkan bilangan majalah yang telah dijual di satu .

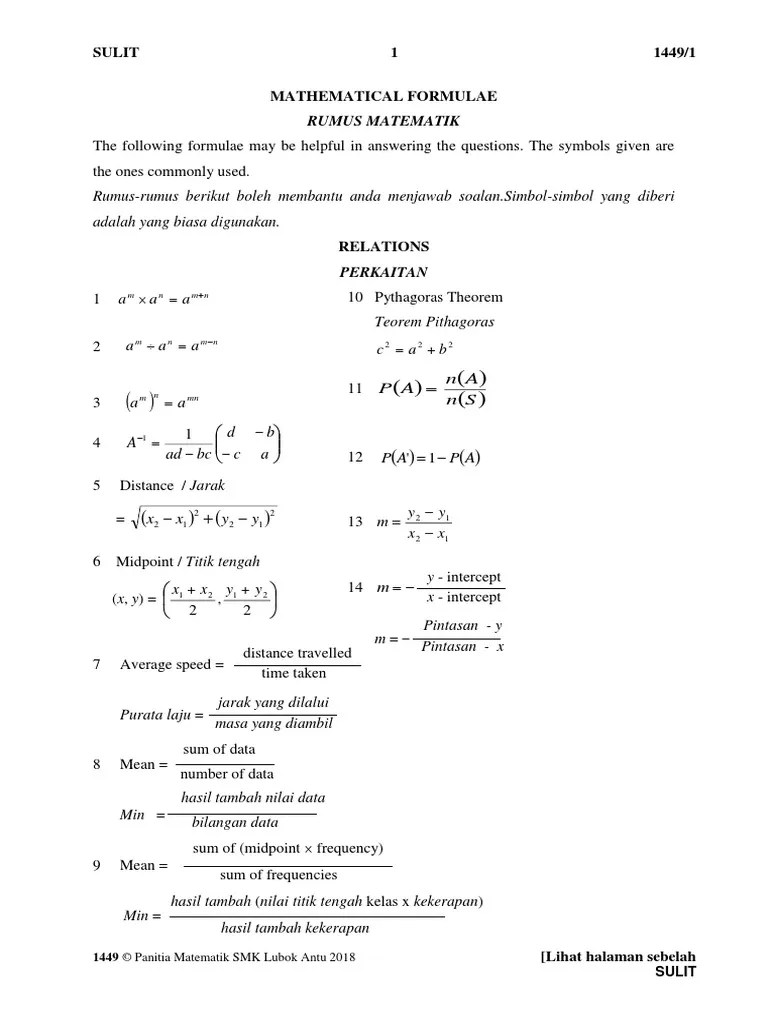
Dalam rajah di bawah, tentukan titik tengah bagi garis pq. Formula Matematik 1449 Spm Pdf

Play this game to review mathematics. Formula ini digunakan untuk mencari. Secara matematis, rumus elastisitas busur adalah sebagai berikut:.

Play this game to review mathematics. Pdf Iterative Reconstruction Algorithms The Implementation Of Iterative Reconstruction Algorithms In Matlab

Cara cari kekerapan dan titik tengah matematik spm statistik.

Cara yang paling biasa digunakan . تويتر Ulangkaji على تويتر Graf Fungsi Trigonometri Matematik Https T Co Ryurhoxyyb

X ialah titik tengah dan k ialah kekerapannya.

Post a Comment for "Formula Titik Tengah Matematik : Koordinat Matematik Tingkatan 2 Mathematics Quizizz"